Курсовая работа: Исследование взаимосвязи уровня эмпатических способностей и стратегии поведения в конфликтной ситуации
Содержание
Введение
Часть 1. Теоретическое исследование стратегий поведения в конфликтной ситуации и эмпатических способностей у психологов
.1 Эмпатические способности и их особенности для профессиональной деятельности психолога
.2 Конфликт. Стратегия поведения в конфликтной ситуации
Выводы по первой главе
Часть 2. Эмпирическое исследование взаимосвязи уровня эмпатических способностей и стратегии поведения в конфликтной ситуации у студентов-психологов
.1 Организация и методы эмпирического исследования
.2 Количественный и качественный анализ полученных результатов
Выводы по второй главе
Заключение
Список литературы
Дата добавления на сайт: 30 августа 2024
Курсовая работа
Исследование взаимосвязи уровня эмпатических способностей и стратегии поведения в конфликтной ситуации
Содержание
Введение
Часть 1. Теоретическое исследование стратегий поведения в конфликтной ситуации и эмпатических способностей у психологов
.1 Эмпатические способности и их особенности для профессиональной деятельности психолога
.2 Конфликт. Стратегия поведения в конфликтной ситуации
Выводы по первой главе
Часть 2. Эмпирическое исследование взаимосвязи уровня эмпатических способностей и стратегии поведения в конфликтной ситуации у студентов-психологов
.1 Организация и методы эмпирического исследования
.2 Количественный и качественный анализ полученных результатов
Выводы по второй главе
Заключение
Список литературы
Введение
Актуальность данного исследования состоит в том, что студентам- психологам необходимо грамотно выстраивать поведение в конфликтных ситуациях, в связи с профессиональными требованиями. И развитие эмпатических способностей также является необходимостью для освоения профессии.
Эмпатическое понимание является значимым условием, влияющее серьезным образом на эффективность психотерапии - когда психолог ощущает чувства и личностные смыслы клиента в каждый момент времени, когда он может воспринять их как бы изнутри, так, как их ощущает сам клиент, когда он способен успешно передать ему свое понимание. Чувства, испытываемые психотерапевтом, доступны ему, его пониманию, он способен "прожить" эти чувства, испытать их и соответствующим образом сообщить о них другому человеку.
Предполагается, что неразвитые эмпатические способности взаимосвязаны с неадаптивными стратегиями поведения в конфликтных ситуациях.
Объект исследования: эмпатические способности студентов-психологов
Предмет исследования: стратегии поведения в конфликтной ситуации студентов-психологов
Цель исследования: выявить взаимосвязь между уровнем эмпатических способностей и стратегией поведения в конфликтной ситуации. Гипотеза исследования: существует взаимосвязь стратегии поведения в конфликтных ситуациях с эмпатическими способностями студентов -психологов.
Методы исследования:
)Тест "Определение стратегии поведения в конфликтной ситуации" (К. Томас)
)Методика диагностики уровня эмпатических способностей (В. Бойко)
) Метод ранговой корреляции Кендалла
) Метод ранговой корреляции Спирмена
Структура работы:
Введение, 2 главы, выводы, заключение, список литературы.
Часть 1. Теоретическое исследование стратегий поведения в конфликтной ситуации и эмпатических способностей у психологов
.1 Эмпатические способности и их особенности для профессиональной деятельности психолога
Известно, что гуманные отношения между людьми во многом определяются способностями сочувствовать, сопереживать и понимать внутренний мир другого человека. Эти способности особенно необходимы в профессиональной деятельности психолога, в которой эмпатическое общение является главной составляющей. В современной психологической науке они чаще именуются эмпатией и реже - эмпатическими способностями.
Понятие "эмпатия" впервые ввел в психологию Э. Титченер, опираясь на представления Липпса о процессе вчувствования. Войдя в европейские языки, термин приобрел множество толкований и отчасти потерял свою специфику.
К. Роджерс предполагает, что находится в состоянии эмпатии - значит воспринимать внутренний мир другого точно, но без потери ощущения "как будто". И если этот важный оттенок "как будто" пропадает, то речь уже будет идти о "заражении" эмоцией другого человека и переживании ее в такой же степени.
В. Бойко, считал эмпатию формой рационально-эмоционально-интуитивного отражения другого человека.
Значимость эмпатии в структуре личности человека, овладевающего профессиональными психологически знаниями, не вызывает сомнения у ряда авторов (В.В. Бойко, А. Бочаров, Р. Гринсон, Д.М. Даудова, X. Кохут, X. Кехеле, К. Роджера, Н.В, Самоукина, Л.Н. Собчик, X. Томэ, Н.А. Щербакова).
Среди большого числа профессионально-значимых личностных качеств, эмпатические способности психолога играют центральную роль . А.А. Бодалев и Н.В. Васина считают, что эмпатия играет важную роль в становлении и развитии межличностных отношений, оказывает существенное, а порой и решающее влияние на взаимодействие людей и, прежде всего, на помогающее поведение .
Л.Н. Собчик высказывает предположение о том, что успешная, деятельностная личность психолога характеризуется рядом позитивных и продуктивных качеств, эмпатия среди которых является, безусловно, важным. В противоположность этому личность психолога обнаруживает черты собственного превосходства над окружающими, властности и доминирования, обладает внутренней неконгруэнтностью, лишена гуманности, жертвенности, эмпатии.
Б.Д. Карвасарский, опираясь на ряд исследований, утверждает, что чем более психотерапевт проявляет эмпатическое отношение, тем более вероятна успешная психотерапия.
По мнению Н.В. Самоукиной, профессиональная психологическая деятельность должна осуществляться в условиях эмпатийного слушания. В случае отсутствия эмпатических способностей личность психолога претерпевает необратимый процесс деформации.
По мнению К. Роджерса, наиболее важными из значимых личностных характеристик психолога являются соблюдение условий: конгруэнтности, умение в отношениях с клиентом быть "искренним, без "маски" или "фасада", когда он передает чувства и отношения, которые в настоящий момент им переживаются. Под этим подразумевается, что чувства, испытываемые психотерапевтом, доступны ему, его пониманию, он способен "прожить" эти чувства, испытать их и соответствующим образом сообщить о них другому человеку. Другое важное условие для психолога - безусловное положительное отношение - когда он испытывает теплое, положительное принимающее отношение к внутреннему миру клиента. Это значит, что проявляющиеся положительные чувства не ограничены никакими условиями и оценками.
Эмпатическое понимание является значимым условием, влияющее серьезным образом на эффективность психотерапии - когда психолог ощущает чувства и личностные смыслы клиента в каждый момент времени, когда он может воспринять их как бы изнутри, так, как их ощущает сам клиент, когда он способен успешно передать ему свое понимание. Такое понимание, по мнению К. Роджерса, встречается чрезвычайно редко - "...мы не часто чувствуем такое понимание и сами редко его выказываем. Обычно мы предлагаем вместо него совершенно другой, отличный тип понимания: "Я понимаю, что у тебя не все в порядке", "Я понимаю, что заставляет тебя действовать таким образом" или "У меня такие неприятности были, но я вела себя совершенно по-другому". Такие типы понимания К. Роджерс называет "с внешней позиции", но когда человек испытывает понимание без желания "анализировать или судить", "тогда я могу "расцветать" и "расти" в этом климате".
.2 Конфликт. Стратегия поведения в конфликтной ситуации
Понятия слова "Конфликт":
) Конфликт - это осознанное противоречие между общающимися личностями при наличии попыток разрешения противоречия на фоне эмоциональных состояний (К.К. Платонов, 1977).
) Конфликт есть действие противоположных, несовместимых в данной ситуации тенденций, мотивов, интересов, типов поведения (А.А. Ершов, 1980).
) Конфликт - это реакция людей на препятствие к достижению разного рода целей совместной деятельности, на поведение других, не соответствующее ожиданиям, а также реакция на почве несовместимости характерологических шаблонов поведения, несходства культурных основ и потребностей.
) Конфликт - предельно обостренное противоречие, связанное с острыми эмоциональными переживаниями (П.И. Пидкасистый, 1998).
) Социальный конфликт - это борьба из-за ценностей или претензии на статус, власть или ограниченные ресурсы, в которой целями конфликтующих сторон являются не только достижение желаемого, но также и нейтрализация, нанесение ущерба или устранение соперника (Л. Козер, 1968).
) Конфликт - это важнейшая сторона взаимодействия людей в обществе, своего рода клеточка социального бытия. Это форма отношений между потенциальными или актуальными субъектами социального действия, мотивация которых обусловлена противостоящими ценностями и нормами, интересами и потребностями (А.Г. Здравомыслов, 1995).
) Конфликт - это наиболее острый способ разрешения значимых противоречий, возникающих в процессе взаимодействия, заключающийся в противодействии субъектов конфликта и обычно сопровождающийся негативными эмоциями (А.Я. Анцупов, А.И. Шипилов, 1999)
) Конфликт - это трудно разрешимое противоречие, связанное с острыми эмоциональными переживаниями (Психологический словарь, 1983).
) Социальный конфликт - это предельный случай обострения социальных противоречий, выражающихся в столкновении различных социальных групп, социальных институтов, обусловленном противоположностью или существенным различием их интересов, целей, тенденций развития (Социологический словарь, 1991)
) Конфликт - это такая характеристика взаимодействия, в которой не могущие сосуществовать в неизменном виде действия взаимодетерминируют и взаимозаменяют друг друга, требуя для этого специальной организации (Б.И. Хасан, 1996).
) Конфликт - это любое отношение между элементами, которое можно охарактеризовать через объективные (латентные) или субъективные (явные) противоположности (Р. Дарендорф, 1988).
Для того чтобы проникнуть в сущность конфликта, как социального феномена (присущего только людям и их объединениям), выделим два необходимых и достаточных условия его возникновения:
. Конфликт всегда содержательно возникает на основе противоположно направленных мотивов или суждений. Наличие таких мотивов и суждений является необходимым условием возникновения конфликта;
. Конфликт всегда (по форме) представляет противоборство субъектов социального взаимодействия (конфликтующих сторон), которое характеризуется нанесением взаимного ущерба (морального, материального, физического, психологического).
Структура конфликта включает в себя участвующие стороны, предмет противостояния, образ конфликтной ситуации, мотивы конфликта и позиции конфликтующих сторон.
Рассмотрим их более подробно.
. Стороны (участника) конфликта - это субъекты социального взаимодействия, находящиеся в состоянии конфликта или же явно или неявно поддерживающие конфликтующих. Иногда их называют субъектами конфликта. Или могут быть такие цепочки: человек - человек; человек - группа; человек - часть группы; часть группы - часть группы; группа - группа.
Важно отметить, что поскольку стороны конфликта - то всегда люди, постольку сам конфликт представляет собой сугубо социальное, "человеческое" явление. При этом условимся понимать, что субъектами конфликта являются не просто человеческие индивиды, а личности, наделенные сознанием, волей и способностью к активным и осознанным действиям. Если обобщить сказанное, то можно сделать вывод о том, что субъекты конфликта должны обладать (или проявлять) активностью. Если активность отсутствует, то конфликтные действия не производятся. Активность возникает, как следствие осознания наличия противоречия и потребности в ее преодолении. Даже если активность у личности присутствует, то нет осознания противоречия, как проблемы, требующей решения, то психологически конфликта не существует.
Участники конфликте обычно обозначаются в терминах ролевых позиций, в рамках которых осуществляется их взаимодействие в данной ситуации (например: "начальник - подчиненный", "муж - жена", "отцы и дети"). Переход участников конфликта непосредственно к конфликтному взаимодействию начинается с действий одного из них. Поэтому участник конфликта, проявляющий инициативу, называется инициатором конфликта.
. Предмет противостояния (конфликта) - это то, из-за чего возникает конфликт. Предмет конфликта отличается многообразием, он охватывает все сферы человеческой деятельности: экономику, семью, идеологи, образование, быть. Сам по себе предмет конфликта может иметь четкое представление (форму) или нечеткое (размытое) представление или отсутствие представления. Таким образом, предметом конфликта может быть конкретный объект, конкретная возможность, или некоторое ценностное утверждение, исключающее мнение другого, а также соблюдение или несоблюдение каких-то правил. Предмет конфликта становится в дальнейшем объектом переговоров или борьбы участников взаимодействия. Предмет почти всегда связан с целями участников, однако не все их цели связаны с предметом.
. Образ конфликтной ситуации - это отображение предмета конфликта в сознании субъектов конфликтного взаимодействия. Важно отметить, что мы разделяем близкие понятия - "конфликт" и "конфликтная ситуация". Дадим определение второму понятию.
Конфликтная ситуация - это накопившиеся противоречия, связанные с деятельностью субъектов социального взаимодействия и создающие почву для реального противоборства между ними. Образы конфликтной ситуации у участников конфликта как правило, не совпадают. В психологии выделяют две группы факторов, оказывающих влияние на развитие конфликтной ситуации:
.1. Социокультурные факторы включают культурные формы протекания и разрешения конфликтов;
.2. Ситуационные факторы определяют направленность конфликта на ужесточение или смягчение, они учитывают как собственные характеристики участников конфликта, так и действия третьих сил.
. Мотивы конфликта - это внутренние побудительные силы, подталкивающие субъектов социального взаимодействия к конфликту (мотивы выступают в форме потребностей, интересов, целей, идеалов, суждений). Более подробно они будут рассмотрены нами ниже, при изучении основных причин конфликтов.
. Позиции конфликтующих сторон - это то, о чем заявляют участники конфликта друг другу в ходе конфликтного взаимодействия.
Модели поведения личности в конфликтном взаимодействии (конструктивная, деструктивная, конформистская).
. Конструктивная выражается в стремлении уладить конфликт, найти приемлемое для обеих сторон решение. При этом проявляются доброжелательное отношение к сопернику, открытость, искренность, выдержка и самообладание.
. Деструктивная модель проявляется в стремлении к расширению и обострению конфликта, основанном на принижении соперника. Проявляются подозрительность, недоверие, негативные оценки соперника, иногда переходящие в нарушение этики общения;
. Конформистская модель предполагает пассивность и склонность к уступкам. Здесь проявляются непоследовательность в оценках и суждениях, уход от обсуждения, соглашательство.
Видно, что каждая модель обусловлена предметом конфликта, образом конфликтной ситуации, ценностью межличностных отношений и индивидуально-психологическими особенностями субъектов конфликтного взаимодействия. Кроме того, модели поведения отражают установки участников конфликта на его динамику и способ разрешения.
Кратко характеризуя описанные модели поведения, можно отметить, что наиболее желательной и необходимой моделью является конструктивная.
Деструктивная модель несет в себе опасность неконтролируемого развития конфликта. Конформистская модель занимает промежуточное положение, но при определенных условиях она может способствовать и даже провоцировать агрессивность соперника. Если противоречия, разрешаемые в ходе конфликта, имеют незначительный характер, то конформистская модель может обеспечить быстрое разрешение такого конфликта.
Стратегия поведения в конфликте - это ориентация человека (группы) по отношению к конфликту, установка на определенные формы поведения в ситуации конфликта.
Когда человек попадает в конфликтную ситуацию, для более эффективного решения проблемы ему необходимо выбрать определенный стиль поведения. К. Томас выделяет следующие пять типовых стратегий поведения в конфликтных ситуациях:
. Соперничество, конкуренция (открытая борьба за свои интересы, упорное отстаивание своей позиции). Человек, использующий стиль конкуренции (соперничества), активен и предпочитает идти к разрешению конфликта собственным путём. Это стремление к одностороннему выигрышу, к победе, удовлетворению в первую очередь собственных интересов. Из этого проистекает желание надавить на партнера, навязать свои интересы, игнорируя интересы другой стороны.
. Сотрудничество - Тот, кто следует стилю сотрудничества, активно участвует в разрешении конфликта и отстаивает свои интересы, но старается при этом сотрудничать с другим человеком. Этот стиль требует более продолжительных затрат времени, чем другие, так как сначала выдвигаются нужды, заботы и интересы обеих сторон, а затем идёт их обсуждение. Это хороший способ удовлетворения интересов обеих сторон, который требует понимания причин конфликта и совместно поиска новых альтернатив его решения. Среди других стилей сотрудничество - самый трудный, но наиболее эффективный стиль в сложных и важных конфликтных ситуациях.
. Компромисс - При использовании стиля компромисса обе стороны немного уступают в своих интересах, чтобы удовлетворить их в остальном, часто главном. Это делается путём торга и обмена, уступок. В отличие от сотрудничества, компромисс достигается на более поверхностном уровне - один уступает в чём-то, другой тоже, в результате появляется возможность прийти к общему решению. При компромиссе отсутствует поиск скрытых интересов, рассматривается только то, что каждый говорит о своих желаниях. При этом причины конфликта не затрагиваются. Идёт не поиск их устранения, а нахождение решения, удовлетворяющего сиюминутные интересы обеих сторон.
. Избегание. Данная стратегия поведения подразумевает стремление человека уклониться от конфликта. Позиция человека - не попадать в ситуации, провоцирующие возникновение конфликта. Он уклоняется от обсуждения вопросов, чреватых разногласиями.
. Приспособление предполагает изменение своей позиции, отказ от борьбы. В отличие от уклонения, при этом стиле имеет место участие в ситуации и согласие делать то, чего хочет другой. Это стиль уступок, согласия и принесения в жертву собственных интересов.
Стоит уточнить, что ни одна из приведенных стратегий поведения в конфликте не является наилучшей - каждая из них в отдельности может привести к положительному результату, когда используется в зависимости от конкретных обстоятельств. Человек, владеющий всеми стратегиями и умеющий их применять по назначению, будет более успешным в общении и в жизни. Напротив, если же человек преимущественно использует только одну или две из этих стратегий, то у него могут возникать серьёзные трудности, т.к. универсального способа реагирования не существует.
Выводы по первой главе
В данной главе были описаны определения эмпатии и особенности эмпатических способностей для профессиональной деятельности психолога. Были приведены высказывания известных психологов, подчёркивающие важность эмпатических способностей в деятельности психолога.
Так же, были приведены определения конфликта, структура конфликта, модели поведения личности в конфликтной ситуации, условия возникновения конфликтной ситуации и стратегии поведения в конфликтной ситуации.
Часть 2. Эмпирическое исследование взаимосвязи уровня эмпатических способностей и стратегии поведения в конфликтной ситуации у студентов-психологов
.1 Организация и методы эмпирического исследования
С целью решения исследовательских задач было проведено обследование 20 студентов психологического факультета в возрасте от 19 до 21 года.
Для исследования уровня эмпатических способностей и стратегии поведения в конфликтной ситуации были выбраны:
. Стратегия поведения в конфликтной ситуации (Тест К. Томаса)
Тест американского социального психолога К.Н. Томаса (1973 г.) позволяет оценить индивидуальную стратегию и тактики поведения в конфликтной ситуации.
Автор методики К. Томас считает нужным сконцентрировать внимание на следующих аспектах изучения конфликтов: какие формы поведения в конфликтных ситуациях характерны для людей, какие из них являются продуктивными или деструктивными; каким образом возможно стимулировать продуктивное поведение .
Испытуемым даны 30 пар утверждений, характеризующих ту или иную тактику поведения. Требуется выбрать из каждой пары одно утверждение, которое больше подходит, точнее, характеризует обычное поведение респондента в конфликте и отметить его.
Обработка результатов происходит методом подсчёта баллов. Стратегия поведения, по которой набрано большее количество баллов - является ведущей.
. Методика диагностики уровня эмпатических способностей (В.В. Бойко)
Данный тест предназначен для определения уровня эмпатии и эмпатических способностей.
Испытуемым даны 35 утверждений. Требуется ответить на каждый вопрос "Да", если он верно описывает поведение респондента и "Нет", если его поведение не соответствует тому, о чем говорится в вопросе.
Тест состоит из шести шкал характеризующих эмпатию, которые испытуемый оценивает положительно или отрицательно. Шкальные оценки выполняют вспомогательную роль в интерпретации основного показателя - уровня эмпатии. Обработка результатов исследования осуществляются по суммарному показателю.
Шкалы: рациональный канал эмпатии, эмоциональный канал эмпатии, интуитивный канал эмпатии, установки, способствующие эмпатии, проникающая способность в эмпатии, идентификация в эмпатии; общий уровень эмпатии.
Обработка происходит следующим образом: подсчитывается число правильных ответов (соответствующих ключу) по каждой шкале, а затем определяется суммарная оценка.
Анализируются показатели отдельных шкал и общая суммарная оценка уровня эмпатии. Оценки на каждой шкале могут варьироваться от О до 6 баллов и указывают на значимость конкретного параметра в структуре эмпатии.
Результаты по методике Бойко

| 1. Рациональный | 2. Эмоциональный | 3. Интуитивный | 4. Установки Сп.Эмпатии | 5. Проникающая способность. | 6. Индентификация в эмпатии |
| 8% | 8% | 21% | 21% | 16% | 26% |
Результаты по методике Томаса

| 1 Соперничество | 2 Сотрудничество | 3 Компромисс | 4 Приспособление | 5 Избегание |
| 52% | 4% | 17% | 9% | 17% |
. Метод математической статистики
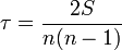
Коэффициент ранговой корреляции Кендалла.
Применяется для выявления взаимосвязи между количественными или качественными показателями, если их можно ранжировать. Значения показателя X выставляют в порядке возрастания и присваивают им ранги. Ранжируют значения показателя Y и рассчитывают коэффициент корреляции Кендалла:
,где
.P - суммарное число наблюдений, следующих за текущими наблюдениями с большим значением рангов Y.- суммарное число наблюдений, следующих за текущими наблюдениями с меньшим значением рангов Y. (равные ранги не учитываются!)

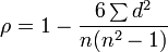
Коэффициент ранговой корреляции Спирмена.
Каждому показателю X и Y присваивается ранг. На основе полученных рангов рассчитываются их разности и вычисляется коэффициент корреляции Спирмена:

.2 Количественный и качественный анализ полученных результатов
На основе анализа проведенного исследования, используя метод непараметрической корреляции можно отметить, что наблюдаются некоторые взаимосвязи между уровнем эмпатических способностей и стратегиями поведения в конфликтной ситуации:
По Кендалу
Есть корреляции между шкалами:
Установок, способствующих эмпатии и стратегии избегания(4-11)-
Идентификации в эмпатии и стратегии соперничества (6-7)+
Идентификации в эмпатии и стратегии компромисса(6-9)-
Идентификации в эмпатии и стратегии приспособления(6-10)-
Идентификации в эмпатии и стратегии избегания(6-11)-
По Спирмену
Есть корреляции между шкалами:
Проникающей способности в эмпатии и стратегии соперничества (5-7)+
Идентификации в эмпатии и стратегии приспособления(6-10)-
Идентификации в эмпатии и стратегии соперничества(6-7)+
Исследование показало наличие зависимостей между уровнем эмпатических способностей и стратегиями поведения в конфликтной ситуации. На основе примененного метода математического анализа можно сделать вывод, что доминирование стратегии избегания зависит от низкого уровня установок, способствующих эмпатии. Высокий уровень идентификации в эмпатии влияет на доминирование стратегии соперничества, так же, чем больше показатель уровня идентификации, тем ниже показатели стратегий компромисса, приспособления, избегания.
Выводы по второй главе
поведение конфликтный эмпатический психолог
Во второй главе было проведено эмпирическое исследование взаимосвязи между уровнем эмпатических способностей и стратегиями поведения в конфликтной ситуации. Полагаясь на данные этого исследования, можно сделать следующие выводы:
У большинства респондентов заниженный уровень эмпатических способностей.(75%) Очень низкий уровень эмпатических способностей так же имеет место. (10%) Процент респондентов со средним уровнем эмпатических способностей очень мал. (15%) Большинство опрошенных чаще всего избирают стратегию соперничества.(52%) Существуют некоторые зависимости между определенными каналами эмпатии и стратегиями поведения в конфликтной ситуации. Гипотеза подтверждена.
Заключение
Так же, на основании проведенного исследования, можно заметить, что у большинства респондентов заниженный уровень эмпатических способностей. Стоит так же заметить, что большинство опрошенных чаще всего избирают стратегию соперничества. Те респонденты, которые отличались средним уровнем эмпатических способностей, так же в основном склонялись к стратегии соперничества в конфликтной ситуации. То же относится и к респондентам с низким уровнем эмпатических способностей.
Список литературы
1.Анцупов А.Я. Конфликтология [Текст]: учебник для вузов / А.Я. Анцупов, А.И. Шипилов. - М.: Юнити, 2011. - 551 с.
2.Белкин А.С. Педагогическая конфликтология [Текст]: учеб. пособие / А.С. Белкин, В.Д. Жаворонков, И.С. Зимина. - Екатеринбург: "ГЛАГОЛЪ", 2007. - 96 с.
.Божович Л.И. Избр. психол. труды. Проблемы формирования личности [Текст]: учеб. пособие / Л.И. Божович, под ред. Д.И. Фельдштейна. - М.: АСТ, 2010. - 322 с.
.Большая советская энциклопедия [Текст] / под ред. А.М. Прохоров. - М.: "Сов. энциклопедия", 1969-78. - 214 с.
.Бородкин Ф.М. Внимание: конфликт! [Текст]: учеб. пособие / Ф. М. Бородкин, Н.М. Коряк. - Новосибирск: Наука. Сиб. отд-ние, - 189 с.
.Василькова Ю.В. Методика и опыт работы социального педагога [Текст]: учеб. пособие / Ю.В. Василькова. - М.: Академия , 2011. - 160 с.
.Ворожейкин И.Н. Конфликтология [Текст]: учебник / И.Н Ворожейкин, А.Я. Кибанова, Д.К. Захаров. - М.: ИНФРА-М, 2009. - 240 с.
.Волков Б.З. Возрастная психология [Текст]: учеб. пособие для студ. вузов / Б.З. Волков. - М.: Издат. центр "Владос", 2009. - 343 с.
.Выготский Л.С. Собрание сочинений [Текст]: в 6 т. / под ред. Л.С. Выготский. - М.: Педагогика, 1982. - т. 1 - 487 с.
.Галагузов М.А. Социальная педагогика. Курс лекций [Текст]: учеб. пособие для студентов высш. учеб. завед. / М.А. Галагузова. - М.: Издат. центр "Владос", 2010. - 416 с.
.Голованова Н.Ф. Социализация и воспитание ребёнка [Текст] / Н.Ф. Голованова. - СПб.: Речь, 2009. - 272 с.
.Гришина Н.В. Психология конфликта 2-е изд. [Текст] / Н.В. Гришина. - СПб.: Питер, 2008. - 544 с.
13.Глоссарий [Электронный ресурс]: терминологический словарь. / - Режим доступа:
.Давыдов В.В. Проблемы развивающего обучения [Текст] / В.В. Давыдов. - М.: ИНТОР, 2006. 544 с.
.Донченко Е.А. Личность: конфликт, гармония [Текст] / Е.А. Донченко, Т.А. Титаренко. - Киев, 2009 - 163 с.
.Дубровина И.В. Возрастная и педагогическая психология [Текст]: Хрестоматия. Учеб. пособие для студ. высш. пед. учеб. завед / И.В. Дубровина. - М.: Издат. центр "Академия", 2010. - 368 с.
.Журавлев В.И. Основы педагогической конфликтологии [Текст] / В.И. Журавлев. - М.: Изд-во "Российское педагогическое агентство", 1995. - 184 с.
.Загвязинский В.И. Основы социальной педагогики [Текст]: учеб. пособие для студ. педагогических вузов и колледжей / В.И. Загвязинский, М.П. Зайцев, Г.Н. Кудашов, О.А. Селиванова, Ю.В. Строков; под редакцией П.И. Пидкасистого. - М.: Педагогическое общество России. 2002. - 160 с.
.Казанская В.Г. Подросток. Трудности взросления [Текст]: книга для психологов, педагогов, родителей / В.Г. Казанская. - СПб. : Питер, 2006. - 240 с.
.Карташев С.Н. Конфликтология: теория и практика конфликтов [Текст] / С.Н. Карташев. - Кишинев, 2011 - 92 с.
.Коджаспирова Г.М. Словарь по педагогике [Текст] / Г.М. Коджаспирова, А.Ю. Коджаспирова. - М.: ИКЦ "МарТ", 2009. - 448 с.
.Козер Л. Основы конфликтологии [Текст] / Л. Козер, - СПб.: "Светлячок", 1999. - 98 с.